Kuat Arus Listrik
Kuat arus listrik adalah banyaknya muatan listrik yang mengalir tiap satuan waktu. Secara matematis dituliskan :

keterangan :
I = Kuat arus listrik (ampere)
Q = muatan listrik (coulomb)
t = waktu (sekon)
Arus listrik hanya mengalir pada rangkaian tertutup. Sehingga, ketika saklar dimatikan maka arus listrik akan terhenti.
Kuat arus listrik adalah banyaknya muatan listrik yang mengalir tiap satuan waktu. Secara matematis dituliskan :
keterangan :
I = Kuat arus listrik (ampere)
Q = muatan listrik (coulomb)
t = waktu (sekon)
Arus listrik hanya mengalir pada rangkaian tertutup. Sehingga, ketika saklar dimatikan maka arus listrik akan terhenti.
Beda Potensial Listrik
Beda Potensial listrik adalah banyaknya energi untuk memindahkan muatan listrik dari satu titik ke titik lain. Secara matematis dituliskan :
V = beda potensial (volt)
W = energi listrik (joule)
Q = muatan listrik (coulomb)
Rangkaian sumber tegangan
a. Rangkaian tunggal
pada rangkaian tunggal sumber tegangan berlaku persamaan :
atau
b. Rangkaian seri
pada rangkaian seri sumber tegangan berlaku persamaan :
c. Rangkaian paralel
pada rangkaian paralel sumber tegangan berlaku persamaan :
keterangan :
E = GGL sumber tegangan (volt)
I = Kuat arus listrik (ampere)
R = Hambatan luar (ohm)
r = hambatan dalam (ohm)
n = jumlah GGL/baterai
Hukum Ohm
Hukum Ohm menyatakan bahwa kuat arus listrik yang mengalir dalam suatu penghantar sebanding dengan beda potensial pada ujung-ujung penghantar.
keterangan :
V = beda potensial (volt)
I = kuat arus listrik (ampere)
R = hambatan listrik (ohm)
Hukum I Kirchoff
Hukum I Kirchoff menyatakan “Jumlah kuat arus yang masuk pada rangkaian bercabang besarnya sama dengan jumlah kuat arus yang keluar dari titik percabangan”
secara matematis dituliskan :
I = I1 + I2 + I3 = I’
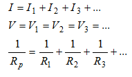
Rangkaian Hambatan
a. Rangkain Seri
pada rangkaian hambatan seri berlaku persamaan :
b. Rangkaian Paralel
pada rangkaian hambatan paralel berlaku persamaan :
keterangan :
I = kuat arus total (A)
I1 = kuat arus pada R1 (A)
I2 = kuat arus pada R2 (A)
I3 = kuat arus pada R3 (A)
V = tegangan total (A)
V1 = tegangan pada R1 (A)
V2 = tegangan pada R2 (A)
V3 = tegangan pada R3 (A)
Rs = Hambatan pengganti seri (ohm)
Rp = Hambatan pengganti parallel (ohm)
Cara CEPAT !!!
Jika 2 buah hambatan dirangkai paralel, maka hambatan penggantinya :
KUAT ARUS LISTRIK (I)
Aliran listrik ditimbulkan oleh muatan listrik yang bergerak di dalam suatu penghantar. Arah arus listrik (I) yang timbul pada penghantar berlawanan arah dengan arah gerak elektron.
Muatan listrik dalam jumlah tertentu yang menembus suatu penampang dari suatu penghantar dalam satuan waktu tertentu disebut sebagai kuat arus listrik. Jadi kuat arus listrik adalah jumlah muatan listrik yang mengalir dalam kawat penghantar tiap satuan waktu. Jika dalam waktu t mengalir muatan listrik sebesarQ, maka kuat arus listrik I adalah:


para ahli telah melakukan perjanjian bahwa arah arus listrik mengalir dari kutub positif ke kutub negatif. Jadi arah arus listrik berlawanan dengan arah aliran elektron.
BEDA POTENSIAL ATAU TEGANGAN LISTRIK (V)
Terjadinya arus listrik dari kutub positif ke kutub negatif dan aliran elektron dari kutub negatif ke kutub positif, disebabkan oleh adanya beda potensial antara kutub positif dengan kutub negatif, dimana kutub positif mempunyai potensial yang lebih tinggi dibandingkan kutub negatif.
Beda potensial antara kutub positif dan kutub negatif dalam keadaan terbuka disebut gaya gerak listrik dan dalam keadaan tertutup disebut tegangan jepit.
HUBUNGAN ANTARA KUAT ARUS LISTRIK (I) DAN TEGANGAN LISTRIK (V)
Hubungan antara V dan I pertama kali ditemukan oleh seorang guru Fisika berasal dari Jerman yang bernama George Simon Ohm. Dan lebih dikenal sebagai hukum Ohm yang berbunyi:
Besar kuat arus listrik dalam suatu penghantar berbanding langsung dengan beda potensial (V) antara ujung-ujung penghantar asalkan suhu penghantar tetap.
Hasil bagi antara beda potensial (V) dengan kuat arus (I) dinamakan hambatan listrik atau resistansi (R) dengan satuan ohm.

HUBUNGAN ANTARA HAMBATAN KAWAT DENGAN JENIS KAWAT DAN UKURAN KAWAT
Hambatan atau resistansi berguna untuk mengatur besarnya kuat arus listrik yang mengalir melalui suatu rangkaian listrik. Dalam radio dan televisi, resistansi berguna untuk menjaga kuat arus dan tegangan pada nilai tertentu dengan tujuan agar komponen-komponen listrik lainnya dapat berfungsi dengan baik.
Untuk berbagai jenis kawat, panjang kawat dan penampang berbeda terdapat hubungan sebagai berikut:

HUKUM I KIRCHOFF
Dalam alirannya, arus listrik juga mengalami cabang-cabang. Ketika arus listrik melalui percabangan tersebut, arus listrik terbagi pada setiap percabangan dan besarnya tergantung ada tidaknya hambatan pada cabang tersebut. Bila hambatan pada cabang tersebut besar maka akibatnya arus listrik yang melalui cabang tersebut juga mengecil dan sebaliknya bila pada cabang, hambatannya kecil maka arus listrik yang melalui cabang tersebut arus listriknya besar.
Hukum I Kirchoff berbunyi:
Jumlah kuat arus listrik yang masuk ke suatu titik simpul sama dengan jumlah kuat arus listrik yang keluar dari titik simpul tersebut.
Hukum I Kirchhoff tersebut sebenarnya tidak lain sebutannya dengan hukum kekekalan muatan listrik.
Hukum I Kirchhoff secara matematis dapat dituliskan sebagai:

HUKUM II KIRCHOFF
Pemakaian Hukum II Kirchhoff pada rangkaian tertutup yaitu karena ada rangkaian yang tidak dapat disederhanakan menggunakan kombinasi seri dan paralel.
Umumnya ini terjadi jika dua atau lebih ggl di dalam rangkaian yang dihubungkan dengan cara rumit sehingga penyederhanaan rangkaian seperti ini memerlukan teknik khusus untuk dapat menjelaskan atau mengoperasikan rangkaian tersebut. Jadi Hukum II Kirchhoff merupakan solusi bagi rangkaian-rangkaian tersebut yang berbunyi:
Di dalam sebuah rangkaian tertutup, jumlah aljabar gaya gerak listrik (ε) dengan penurunan tegangan (IR) sama dengan nol.
Hukum Kirchoff II dirumuskan sebagai berikut:

ENERGI LISTRIK

Karena q = I . t, dimana I adalah kuat arus listrik dan t waktu, maka besar usaha
yang dilakukan adalah:
W = V . I . t
Karena V = I . R, maka besar usaha W yang sama dengan energi listrik adalah

DAYA LISTRIK
Besar Daya listrik (P) pada suatu alat listrik adalah merupakan besar energi listrik (W) yang muncul tiap satuan waktu (t), kita tuliskan.




Tidak ada komentar:
Posting Komentar